내용바로가기
FAQ
아이디
비밀번호
독서 커뮤니티 소개
독서 커뮤니티 목록
독서이야기ㆍ자유게시판
인문학 40선 읽기 프로그램 소개
권장도서
나의 독후활동
독서 포트폴리오
밤샘독서
저자와의 대화
독서토론대회
창의인문독서특강
[서울] 2026학년도 독서페스티벌 도서 리스트
write by
김영민
2026/02/25
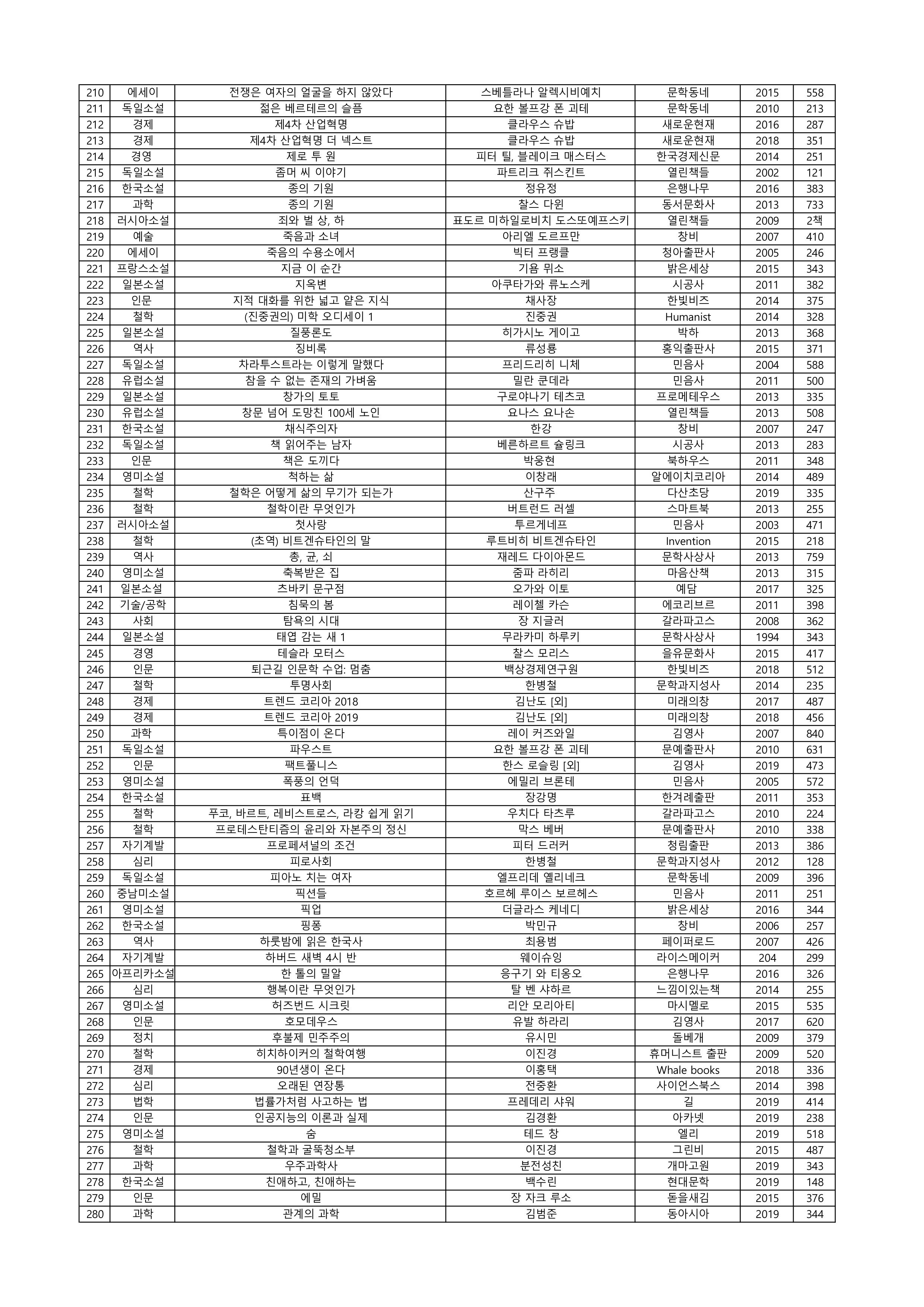
하단에서 '2026학년도 독서페스티벌 도서 리스트.pdf'를 다운받으실 수 있습니다.
첨부파일 :
2026학년도 독서페스티벌 도서 목록.pdf
255 kB
목록